肌如白雪,膚若凝脂(弗麗德多功能光子治療系統?)
千山鳥飛絕
萬徑人蹤滅
孤舟蓑笠翁
獨釣寒江雪
今天是大雪,顧名思義,是一年中最寒冷的日子就要到來的預告。
古人云:“大者,盛也,至此而雪盛也”。到了這個時段,雪往往下得大、范圍也廣,故名大雪。大雪至,仲冬始,天氣愈冷,雪羽愈豐,雪景愈奇。
每到這個時候護膚問題又被提上了日程。冬天的護膚方式不能與夏天相同,季節不同,皮膚的抵抗力也不一樣。你的皮膚是否會出現暗黃,干燥,蛻皮?


有人說,“雪之所以迷人,在于它的潔白純凈”
其實人生也若此。
我們追求美白,我們追求抗衰老和嫩膚,純凈和潔白是我們一出生就自帶的光環。
可隨著歲月的侵襲我們逐漸失卻了這些。所以我們一直在努力尋找這些遺失的美好。
在許多人追求更美麗自己的時候,GSD研發的新一代弗麗德多功能光子治療系統為我們“潔白純凈”的實現帶來了引領全球的、更具科技感、高效快捷和更為舒適的體驗。

在無痛脫毛、抗衰老、嫩膚、美白淡斑、改善毛細血管擴張等多個領域,弗麗德自有獨特天地。
下面,我們通過“雪”的幾個特征,來講述弗麗德的故事。
揮灑均勻
覆蓋整片大地
冬日里,一場雪下來,洋洋灑灑卻又遍布均勻。雪停后,天地銀裝素裹,世間的一切都在它的覆蓋下變得白亮起來。
如同雪花的均勻灑落,新一代弗麗德多功能光子治療系統采用全新水冷卻系統及原裝進口高能燈管,通過專利的光輸出3C恒流控制技術,在提供更均勻能量、最佳治療效果的同時,使舒適度得到極大提升。

相對傳統IPL,新一代弗麗德多功能光子治療系統采用專利的光輸出3C恒流控制技術(ConstantCurrentControl),避免了傳統IPL的單一強脈沖能量及長時間使用后不均勻的脈沖能量對皮膚的高熱刺激灼傷風險,讓皮膚獲得更安全的溫度和能量吸收。

而且,即使在長時間多脈沖使用后,光斑均勻度也遠超傳統IPL及其他光子產品。
弗麗德專利的光輸出3C恒流控制技術,為患者帶來更加舒適的均勻效果。
牽一人手
走到一路白了頭
雪,總會讓人聯想到長久、穩定且純粹的愛情。
當年卓文君以一首《白頭吟》與司馬相如訣別,留下了膾炙人口的詩句:“皚如山上雪,皎若云間月。聞君有兩意,故來相決絕。……凄凄復凄凄,嫁娶不須啼。愿得一人心,白頭不相離。”

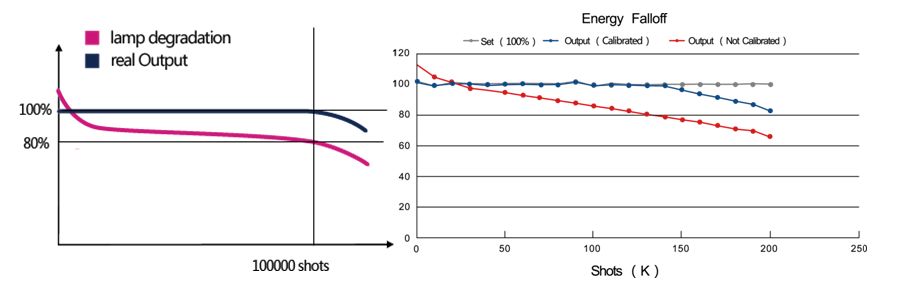
如今,新一代弗麗德多功能光子治療系統,通過數百次的研發調試,最終引入英國原裝進口燈管,使設備光頭的壽命大大提升!

專利的RVC能量輸出控制確保了絕佳的光脈沖能量輸出,臨床測試結果顯示,高能燈管輸出10萬發后,能量幾乎無衰減、光輸出均勻度無變化,因此一般我們建議20萬發,超高的使用壽命讓您的使用耗材成本大大降低。
“下雪了,我們牽著手在雪中走,一不小心白了頭。”這是最浪漫的情話。而弗麗德多功能光子治療系統,以20萬發超長壽命,為皮膚醫生許下了最深情的告白。
隨風潛入夜
飄雪細無聲
真正的飄雪,總是會持續很長一段時間,醞釀著“雪花無言,卻又舉重若輕”。

弗麗德多功能光子治療系統,高效的水冷卻控制系統,保證了設備可以連續12個小時不間斷操作。超載報警模式讓設備一旦出現制冷失敗即自動關閉,確保了患者的安全治療溫度。

同時使用目前市面上最大的光斑尺寸15mm*50mm,極大提高了治療的效率。加之以創新的藍寶石TEC制冷控制,可調節的半導體制冷TEC標準提供了更佳優良的操作冷卻控制,光頭最低能達到-4℃,極大的保證了治療過程中的舒適度。
雪的模樣
是多彩絢麗的
當雪花飄落,仰起頭望向天空,片片不同形狀的雪花構成了眼前的一幅盛大精美的圖案。它們有的是六棱體狀,長長的、細細的;它們有時候是六角形的片狀,薄薄的、更加輕盈的。

新一代弗麗德多功能光子治療系統,也擁有著多個治療頭可選。新一代弗麗德增加了DPL精準光治療頭(選配)及SHR脫毛快閃模式(選配),為皮膚科室提供更具性價比的選擇。

DPL精準光治療頭:能夠發射具有超強穿透力的可精準到波段150nm的DPL精準脈沖光,精準靶向病變部位且吸收率更佳,有效針對色素治療及毛細血管擴張等問題。
SHR快閃模式:光輸出頻率更高,最高可達10HZ,有效提高脫毛效率及舒適度,單位翻床率更高。
人在皚皚白雪的氛圍中,也容易忘卻塵世的煩惱。潔白的雪,將心靈也洗滌了一番。
新一代弗麗德多功能光子治療系統,無痛脫毛、高效淡斑、美白和嫩膚,使人的外表煥發新生。
王摩詰畫山而不見云,齊白石畫蝦而不見水。雪的潔白,是讓天地山川變成了落筆簡約的國畫,天地純凈了,心靈也就跟著純粹如白紙,隨時等待著思想的輝映。
新一代弗麗德多功能光子治療系統,以更恒定安穩的方式、更均勻的光斑和長久的使用壽命,為大家帶來更加舒適、純粹的治療效果。
上一篇: 激光脫毛,我希望您知道這些事 2019.03.21
下一篇: 丁克斯308nm準分子光治療系統白癜風治療金標準 2019.02.22

